HTLV1 Target gene Detail Information

> CD5 Gene Search Result


Gene Information
Gene Name CD5
Gene ID 921
Gene Full Name CD5 molecule
Gene Alias LEU1|T1
Transcripts ENSG00000110448
Virus HTLV1
Gene Type protein-coding
HPA Location Info
Membrane Info CD markers, Predicted intracellular proteins, Predicted membrane proteins
Uniport_ID P06127
HGNC ID HGNC:1685
OMIM ID 153340
Summary This gene encodes a member of the scavenger receptor cysteine-rich (SRCR) superfamily. Members of this family are secreted or membrane-anchored proteins mainly found in cells associated with the immune system. This protein is a type-I transmembrane glycoprotein found on the surface of thymocytes, T lymphocytes and a subset of B lymphocytes. The encoded protein contains three SRCR domains and may act as a receptor to regulate T-cell proliferation. Alternative splicing results in multiple transcript variants encoding different isoforms. [provided by RefSeq, Oct 2016]
Target gene [CD5] related to VISs

Integration Table: if previous studies reported that target gene was altered by virus integration events, the overlap between VISs in this literature and Cistrome factors was listed in this section


DVID Chromosome HM TFBS CA Sum of Overlapped Records Detail
6001880 chr11 292 10 23 325 View
6013426 chr11 17 1 1 19 View

Target gene [CD5] related to Omics data
Data ID Experiment type Sample number Platform
GSE189602 Methylation profiling (Array) 4 Infinium MethylationEPIC
C
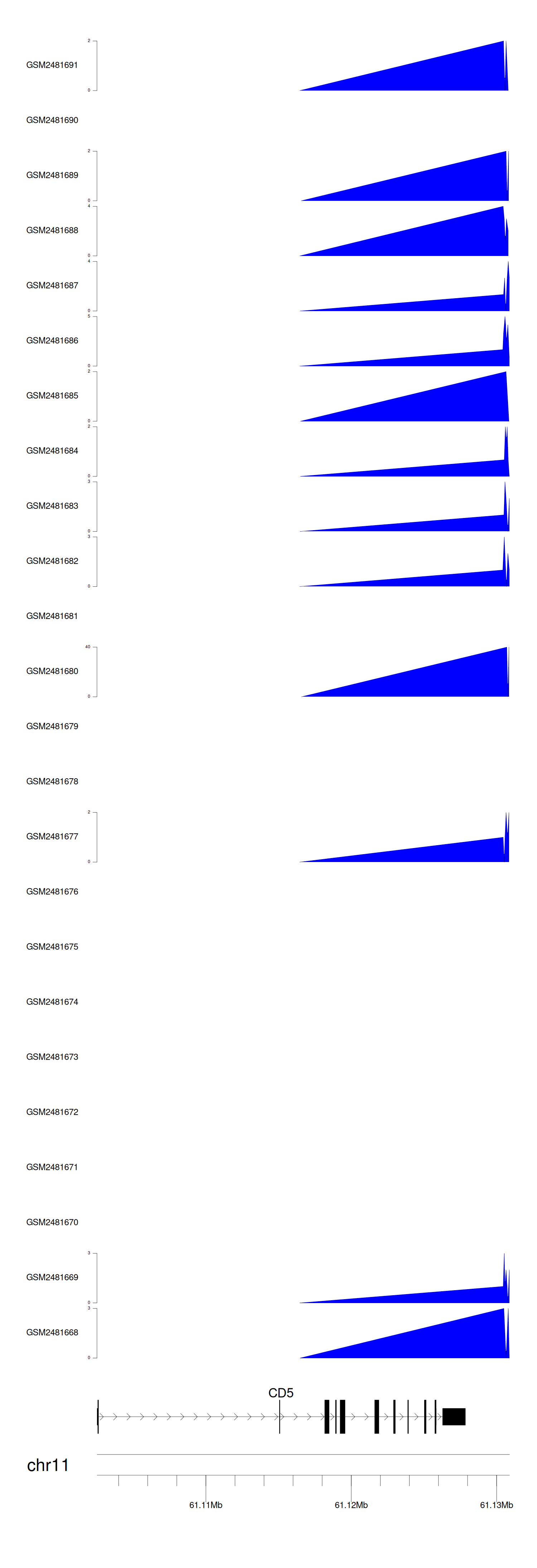
  GSE94732
Chip-seq 24 Illumina NextSeq 500 (Homo sapiens);illumina Genome Analyzer IIx (Homo sapiens)
GSE52244 Expression array 15 [HuEx-1_0-st] Affymetrix Human Exon 1.0 ST Array [probe set (exon) version]
GSE19080 Expression array 38 Homo sapiens 3K Immunoarray2 HTLV-1 JH
GSE10789 Expression array 6 NCI/ATC Hs-OperonV3
GSE224047 RNA-seq 10 Illumina NextSeq 500 (Homo sapiens)
GSE168557 Expression array 6 Agilent-039494 SurePrint G3 Human GE v2 8x60K Microarray 039381 (Feature Number version)
GSE136189 Methylation profiling (Array) 40 Illumina HumanMethylation450 BeadChip (HumanMethylation450_15017482);Illumina Infinium HumanMethylation850 BeadChip


When the gene can detect a peak in the dataset, a peak plot will be displayed.


> Dataset: GSE94732 - CD5 peak across samples

Peak Plot