HTLV1 Target gene Detail Information

> DUSP22 Gene Search Result


Gene Information
Gene Name DUSP22
Gene ID 56940
Gene Full Name dual specificity phosphatase 22
Gene Alias JKAP|JSP-1|JSP1|LMW-DSP2|LMWDSP2|MKP-x|MKPX|VHX
Transcripts ENSG00000112679
Virus HTLV1
Gene Type protein-coding
HPA Location Info Nucleoplasm, Vesicles;
Membrane Info Enzymes, Human disease related genes, Predicted intracellular proteins
Uniport_ID Q9NRW4
HGNC ID HGNC:16077
OMIM ID 616778
Summary Enables phosphoprotein phosphatase activity; protein tyrosine kinase binding activity; and protein tyrosine kinase inhibitor activity. Involved in several processes, including cellular response to epidermal growth factor stimulus; negative regulation of T cell receptor signaling pathway; and negative regulation of focal adhesion assembly. Acts upstream of or within negative regulation of transcription by RNA polymerase II. Located in cytoplasm; leading edge of lamellipodium; and plasma membrane. Part of filamentous actin. [provided by Alliance of Genome Resources, Apr 2025]
Target gene [DUSP22] related to VISs

Integration Table: if previous studies reported that target gene was altered by virus integration events, the overlap between VISs in this literature and Cistrome factors was listed in this section


DVID Chromosome HM TFBS CA Sum of Overlapped Records Detail
6000928 chr6 112 335 255 702 View

Target gene [DUSP22] related to Omics data
Data ID Experiment type Sample number Platform
GSE189602 Methylation profiling (Array) 4 Infinium MethylationEPIC
C
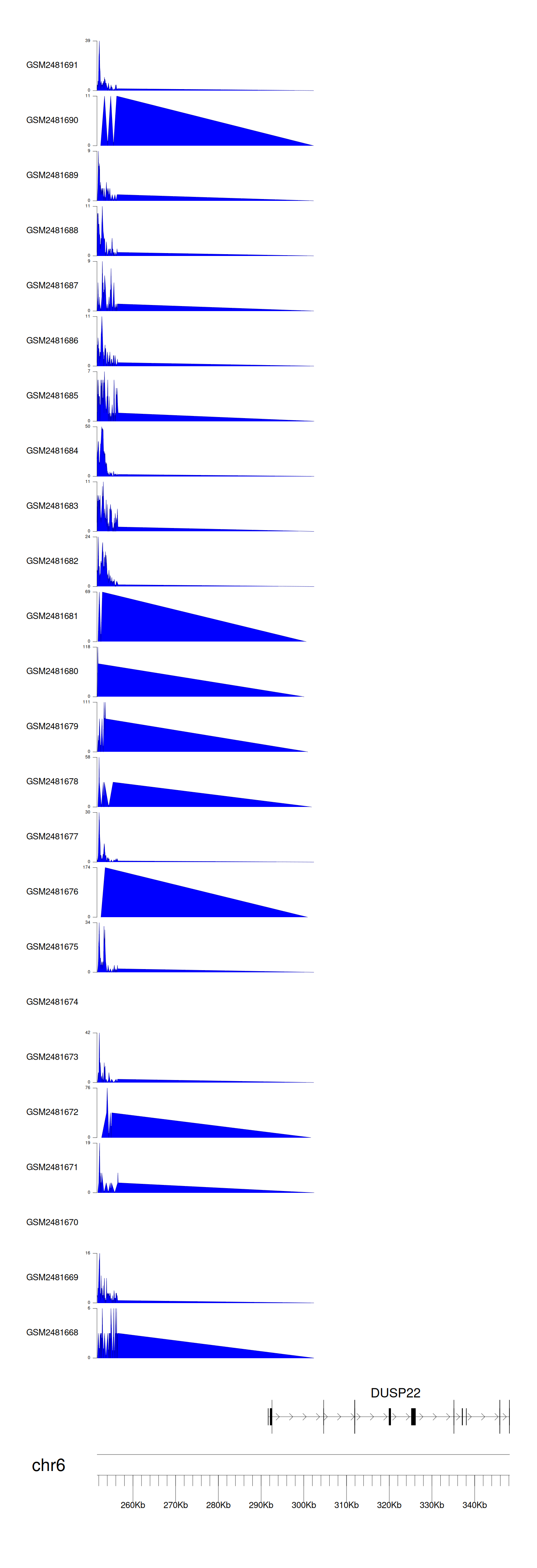
  GSE94732
Chip-seq 24 Illumina NextSeq 500 (Homo sapiens);illumina Genome Analyzer IIx (Homo sapiens)
GSE52244 Expression array 15 [HuEx-1_0-st] Affymetrix Human Exon 1.0 ST Array [probe set (exon) version]
GSE10789 Expression array 6 NCI/ATC Hs-OperonV3
GSE224047 RNA-seq 10 Illumina NextSeq 500 (Homo sapiens)
GSE168557 Expression array 6 Agilent-039494 SurePrint G3 Human GE v2 8x60K Microarray 039381 (Feature Number version)
GSE136189 Methylation profiling (Array) 40 Illumina HumanMethylation450 BeadChip (HumanMethylation450_15017482);Illumina Infinium HumanMethylation850 BeadChip


When the gene can detect a peak in the dataset, a peak plot will be displayed.


> Dataset: GSE94732 - DUSP22 peak across samples

Peak Plot